• Предмет: Алгебра
  • Автор: Proof57
  • Вопрос задан 10 лет назад

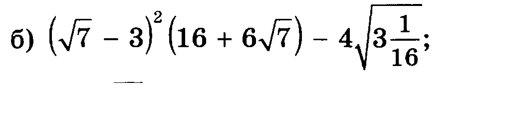
Помогите решить, пожалуйста

Приложения:

Ответы

Ответ дал: red321
0
...=(7-6sqrt{7}+9)(16+6sqrt{7})-4sqrt{frac{49}{16}}=\=(16-6sqrt{7})(16+6sqrt{7})-4*frac{7}{4}=16^2-(6sqrt{7})^2-7=-3
Вас заинтересует