Ответы
Ответ дал:
0
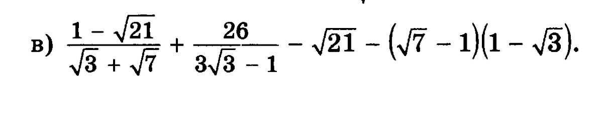
основная идея: избавиться от иррациональности в знаменателе...
Приложения:

Вас заинтересует
2 года назад
7 лет назад
7 лет назад
10 лет назад
10 лет назад