Ответы
Ответ дал:
0
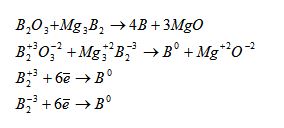
Написала...Надеюсь, понятно...
Приложения:

Ответ дал:
0
В схеме электронного баланса не B2, а 2B
Вас заинтересует
2 года назад
7 лет назад
7 лет назад
10 лет назад
10 лет назад
10 лет назад