Ответы
Ответ дал:
0
Ответ:-0,5
Решение на картинке
Решение на картинке
Приложения:

Ответ дал:
0
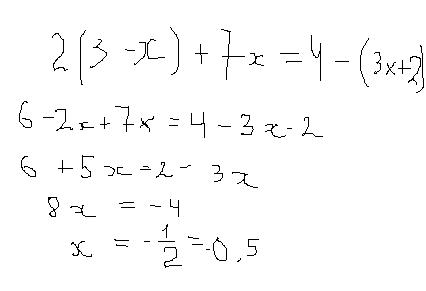
2(3 – х) + 7х = 4 – (3х + 2).
6 – 2х + 7х = 4 – 3х - 2
– 2х + 7х +3x= 4-2-6
8x=-4
x= - 0,5
6 – 2х + 7х = 4 – 3х - 2
– 2х + 7х +3x= 4-2-6
8x=-4
x= - 0,5
Приложения:

Вас заинтересует
2 года назад
2 года назад
7 лет назад
10 лет назад
10 лет назад