Ответы
Ответ дал:
0
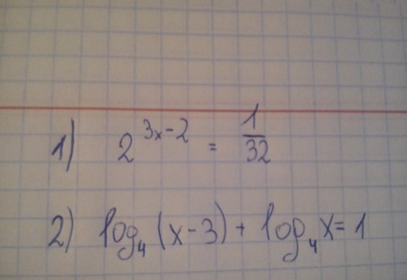
1) 1/32 это 2^ -5 , тогда
3х-2=-5
3х=-3
х=-1
2) данное уравнение равносильно уравнению (х+3)*х=4
х^2+3х-4=0
х1=4; х2=-1 не удовлетворяет одз:х>0 ответ х=4
3х-2=-5
3х=-3
х=-1
2) данное уравнение равносильно уравнению (х+3)*х=4
х^2+3х-4=0
х1=4; х2=-1 не удовлетворяет одз:х>0 ответ х=4
Ответ дал:
0
Спасибо
Ответ дал:
0
1) 32=2^5⇒1/32=1/2^5=2^(-5)
2^(3x-2)=2^(-5)⇒3x-2=-5⇒3x=-3⇒x=-1
2) ОДЗ: x-3>0⇒x>3; x>0⇒x>3
lga +lgb=lg(a*b)⇒log4(x(x-3))=1⇒x^2-3x=4⇒x^2-3x-4=0
По теореме Виетта x1+x2=3; x1*x2=-4⇒x1=4; x2=-1∉ОДЗ⇒
x=4 - ответ
2^(3x-2)=2^(-5)⇒3x-2=-5⇒3x=-3⇒x=-1
2) ОДЗ: x-3>0⇒x>3; x>0⇒x>3
lga +lgb=lg(a*b)⇒log4(x(x-3))=1⇒x^2-3x=4⇒x^2-3x-4=0
По теореме Виетта x1+x2=3; x1*x2=-4⇒x1=4; x2=-1∉ОДЗ⇒
x=4 - ответ
Вас заинтересует
3 года назад
8 лет назад
8 лет назад
10 лет назад
11 лет назад