Ответы
Ответ дал:
0
Решения см. во вложении. Пока без 169. Сразу не вижу решения. Немного подумаю.
Приложения:
Ответ дал:
0
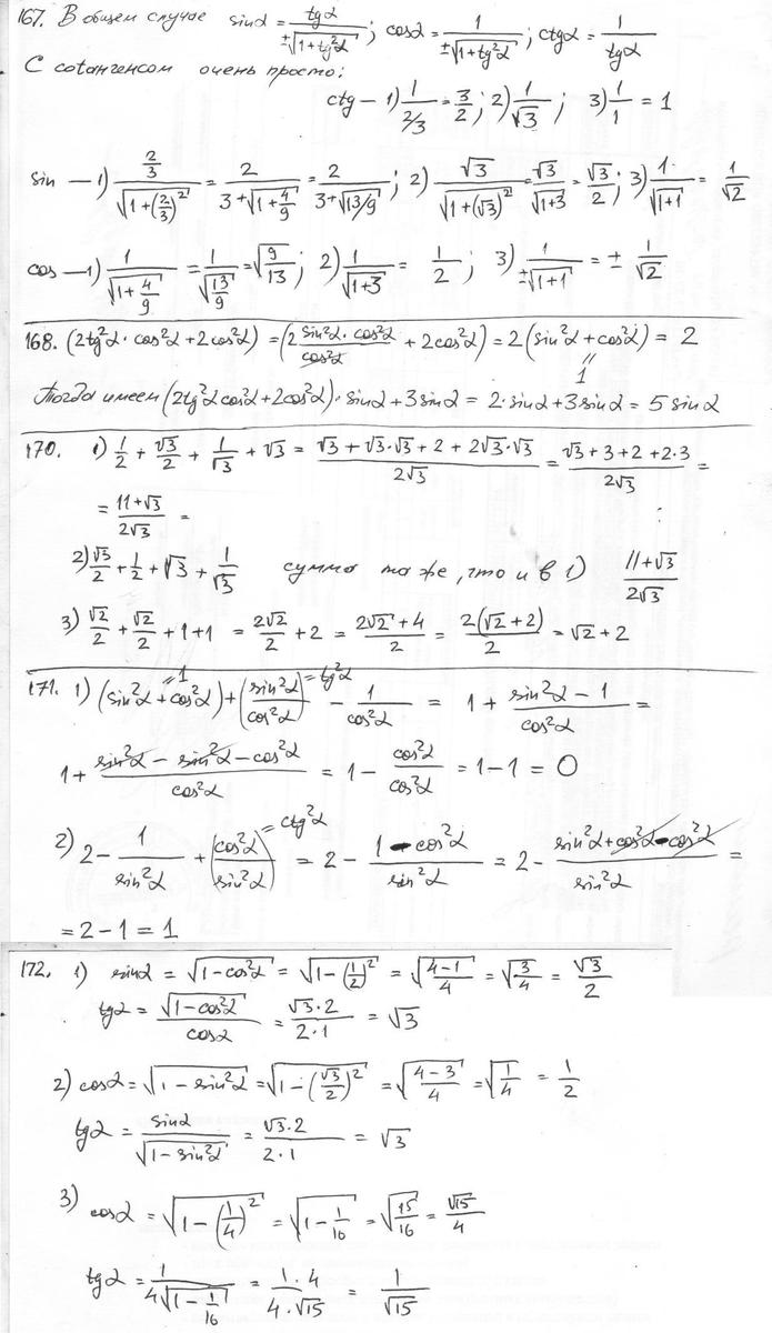
165
=(1-cos²a)*1/sin²a=sin²a*1/sin²a=1
166
=1+sina
167
1)tga=2/3⇒ctga=3/2
cos²a=1:(1+tg²a)=1:(1+4/9)=1:13/9=9/13⇒cosa=3/√13
sina=√1-9/13=√4/13=2/√13
2)tga=√3⇒ctga=1/√3
cos²a=1:(1+tg²a)=1:(1+3)=1/4⇒cosa=1/2
sina=√1-1/4=√3/4=√3/2
3)tga=1⇒ctga=1
cos²a=1:(1+tg²a)=1:(1+1)=1/2⇒cosa=1/√2
sina=√1-1/2=1/√2
168
=(2sin²a+2cos²a)*sina+3sina=2(sin²a+cos²a)*sina+3sina=2sina+3sina=5sina
169
=
170
1)=1+tg²a -1/cos²a=1/cos²a - 1/cos²a=0
2)=1 - 1/sin²a =1/sin²a=1
173
1)cosa=1/2
sina=√1-1/4=√3/2
tga=√3/2:1/2=√3
ctga=1/√3
2)sina=√3/2
cosa=√1-3/4=1/2
tga=√3/2:1/2=√3
ctga=1/√3
3)sina=1/4
cosa=√1-1/16=√15/4
tga=1/4:√15/4=1/√15
ctga=√15
=(1-cos²a)*1/sin²a=sin²a*1/sin²a=1
166
=1+sina
167
1)tga=2/3⇒ctga=3/2
cos²a=1:(1+tg²a)=1:(1+4/9)=1:13/9=9/13⇒cosa=3/√13
sina=√1-9/13=√4/13=2/√13
2)tga=√3⇒ctga=1/√3
cos²a=1:(1+tg²a)=1:(1+3)=1/4⇒cosa=1/2
sina=√1-1/4=√3/4=√3/2
3)tga=1⇒ctga=1
cos²a=1:(1+tg²a)=1:(1+1)=1/2⇒cosa=1/√2
sina=√1-1/2=1/√2
168
=(2sin²a+2cos²a)*sina+3sina=2(sin²a+cos²a)*sina+3sina=2sina+3sina=5sina
169
=
170
1)=1+tg²a -1/cos²a=1/cos²a - 1/cos²a=0
2)=1 - 1/sin²a =1/sin²a=1
173
1)cosa=1/2
sina=√1-1/4=√3/2
tga=√3/2:1/2=√3
ctga=1/√3
2)sina=√3/2
cosa=√1-3/4=1/2
tga=√3/2:1/2=√3
ctga=1/√3
3)sina=1/4
cosa=√1-1/16=√15/4
tga=1/4:√15/4=1/√15
ctga=√15
Приложения:
Вас заинтересует
3 года назад
3 года назад
8 лет назад
10 лет назад
10 лет назад
11 лет назад