Вычислите, применяя переместительное и сочетательное свойства сложения:
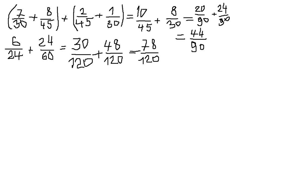
3) (7/30+8/45)+(2/45 +1/30)=
4) (5/24+11/60)+(13/60+1/24)=
Ответы
Ответ дал:
0
вот.............................
Приложения:

Вас заинтересует
2 года назад
7 лет назад
7 лет назад
10 лет назад
10 лет назад
10 лет назад