• Предмет: Алгебра
  • Автор: rokfeller007
  • Вопрос задан 11 лет назад

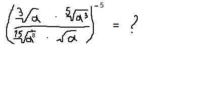
Найти значение выражения

 

Приложения:

Ответы

Ответ дал: sergio8800
0

(frac{sqrt[3]{a}sqrt[5]{a^3}}{sqrt[15]{a^8}sqrt{a}})^{-5}=(frac{a^{frac{1}{3}}a^{frac{3}{5}}}{a^{frac{8}{15}}a^{frac{1}{2}}})^{-5}=(frac{a^{frac{1}{3}+frac{3}{5}}}{a^{frac{8}{15}+frac{1}{2}}})^{-5}=<br />(frac{a^{frac{14}{15}}}{a^{frac{31}{30}}})^{-5}=(a^{frac{14}{15}-frac{31}{30}})^{-5}=(a^{-frac{1}{10}})^{-5}=a^{frac{1}{2}}=sqrt{a}

Ответ дал: dtnth
0

(frac {sqrt [3]{a} sqrt[5]{a^3}}{sqrt[15]{a^8}sqrt{a}})^{-5}=\ (frac {a^{frac{1}{3}}a^{frac{3}{5}}}{a^{frac{8}{15}} a^{frac{1}{2}}})^{-5}=\ (frac {a^{frac{1}{3}+frac{3}{5}}}{a^{frac{8}{15}+frac{1}{2}}})^{-5}=\ (frac {a^{frac{14}{15}}}{a^{frac{31}{30}}})^{-5}=\ (a^{frac{14}{15}-frac{31}{30}})^{-5}=\ (a^{frac{-3}{30}})^{-5}=\ a^{frac{-3*(-5)}{30}}=\ a^{frac{15}{30}}=\ a^{frac{1}{2}}=\ sqrt{a}

Вас заинтересует