• Предмет: Алгебра
  • Автор: Eminem4uk
  • Вопрос задан 10 лет назад

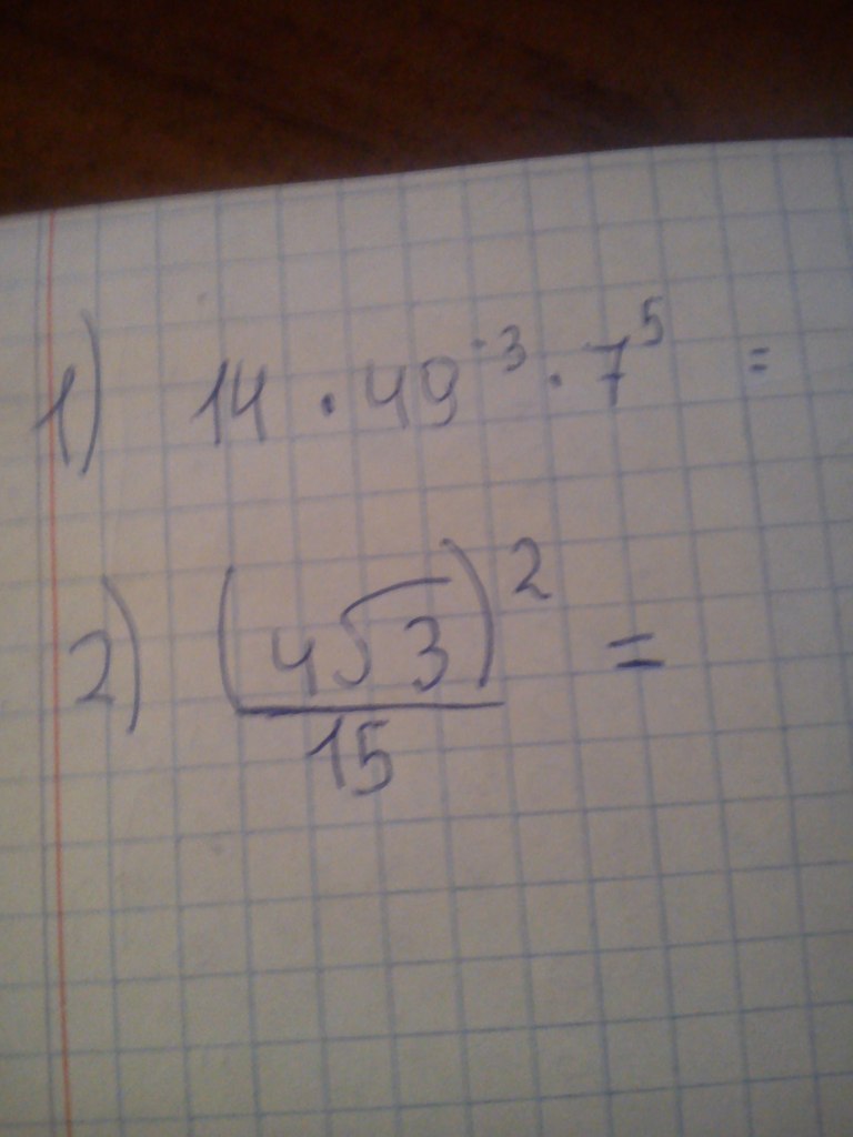
Степени и корни.


Найдите значение выражений
С решением)
Заранее спасибо)))

Приложения:

Ответы

Ответ дал: uekmyfhfp
0
14 * 49^(-3) * 7^5 = 7 * 2 * (7^2)^(-3) * 7^5= 2*7^1 * 7^(-6)* 7^5 =
=2  * 7^(1-6+5)= 2 * 7^0 = 2*1 = 2.

2) (4 * sgrt3)^2 / 15 = 4^2 * 3 / 15 = 16*3/15 = 16/5 = 3,2
Ответ дал: Eminem4uk
0
Спасибо
Ответ дал: MailaMiller
0
....................
Приложения:
Вас заинтересует