• Предмет: Геометрия
  • Автор: roman1234567896
  • Вопрос задан 10 лет назад

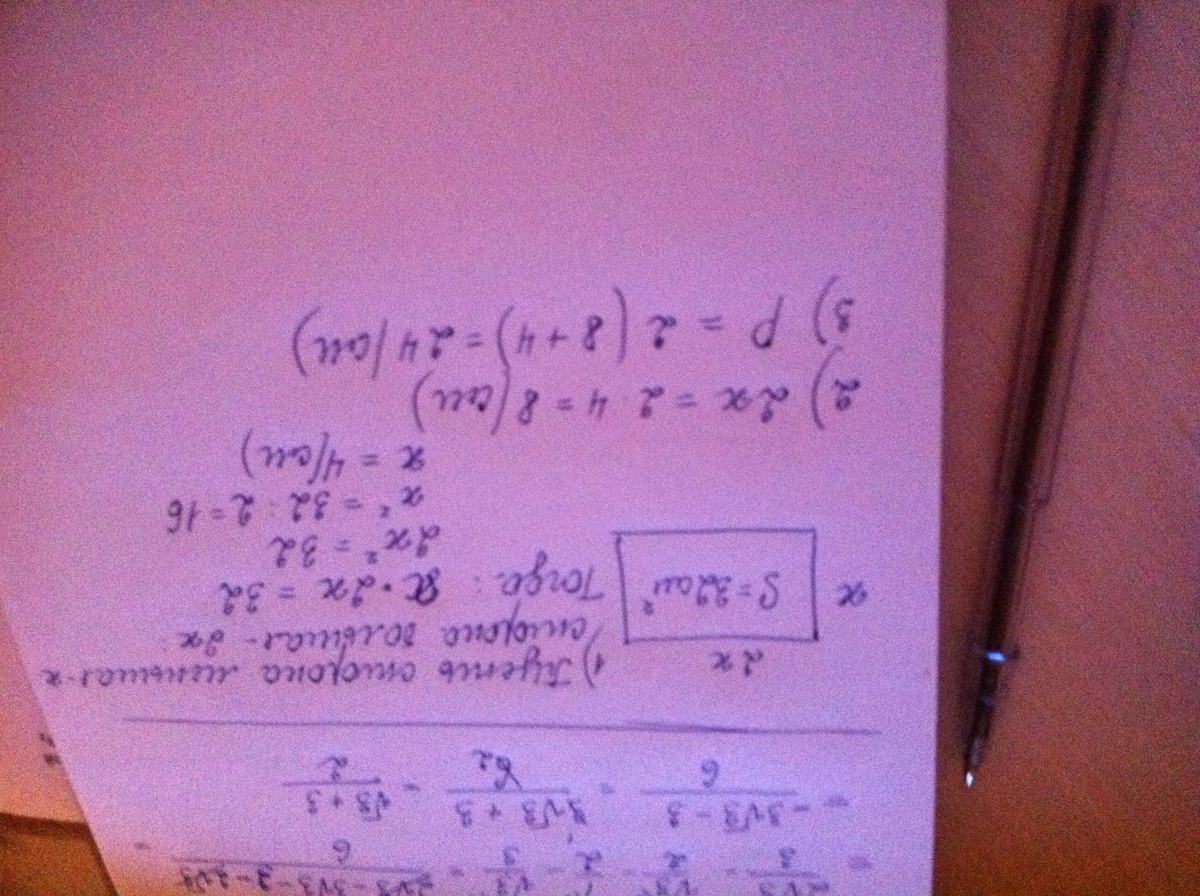
В прямоугольнике одна сторона в 2 раза меньше другой,а площадь равна 32 см в квадрате.Найдите периметр прямоугольника.

Ответы

Ответ дал: MashaFisher1999
0
Решение в фото, извиняюсь, что перевёрнуто(((
Приложения:
Вас заинтересует