• Предмет: Математика
  • Автор: 57781
  • Вопрос задан 10 лет назад

пожалуйста помогите решить срочно

Приложения:

Ответы

Ответ дал: Anysik03
0
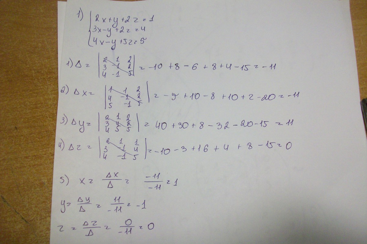
во вложении.............3 не знаю
Приложения:
Ответ дал: 57781
0
спасибо )
Ответ дал: Anysik03
0
пожалуйста)
Вас заинтересует