Ответы
Ответ дал:
0
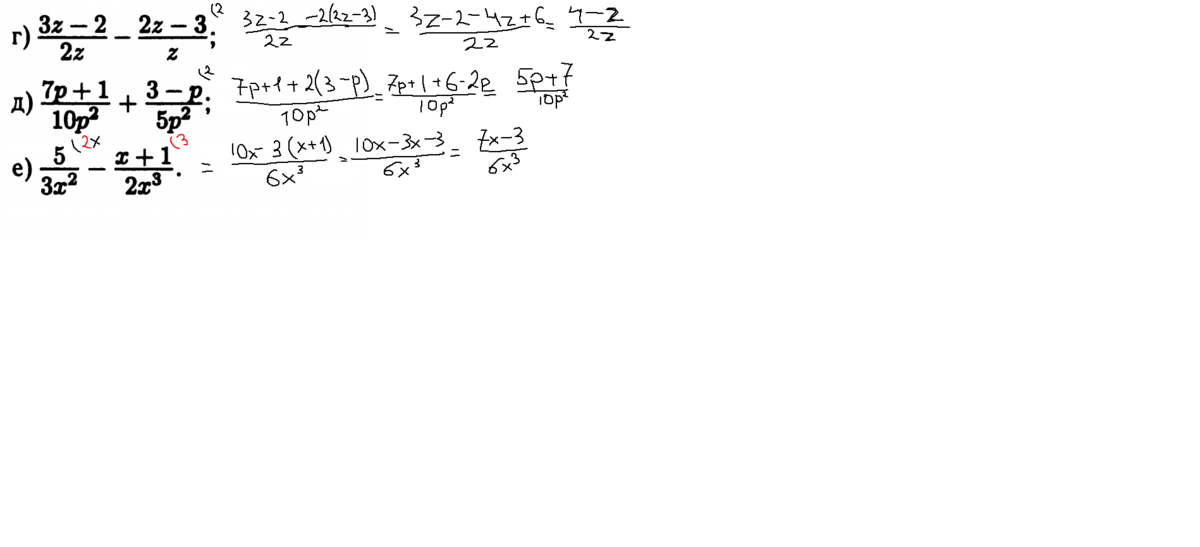
Держи картинкой
Надеюсь что я не ошибся в подсчетах
Надеюсь что я не ошибся в подсчетах
Приложения:
Ответ дал:
0
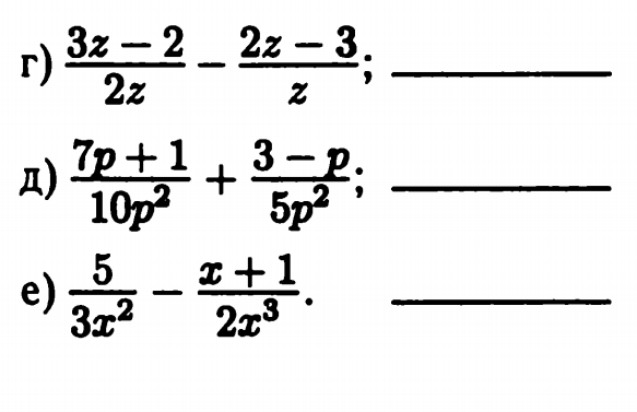
г)

д)

е)

д)
е)
Приложения:
Ответ дал:
0
кстати как так делать дроби?))
Ответ дал:
0
в редакторе формул. когда решаете нажмите на π(снизу слева). дальше думаю сами разберётесь
Ответ дал:
0
спасиб нашел
Вас заинтересует
3 года назад
3 года назад
8 лет назад
8 лет назад
10 лет назад
10 лет назад
11 лет назад