семь поделить( две цылых две десятых минус одна целая одна пятая) + три десятых : ( 2,8 - одна целая три четвёртых) прошу вас по действеям
Ответы
Ответ дал:
0
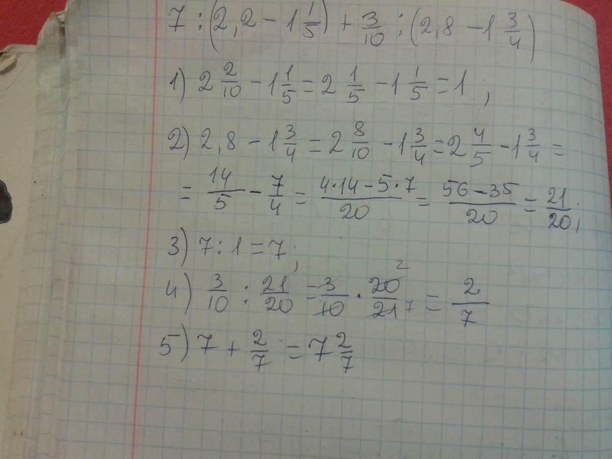
решение на фото
___________________________________________
___________________________________________
Приложения:
Ответ дал:
0
7:(2 2/10-11/5) +3/10:(2 8/10-1 3/4)= 7:1 + 3/10: 1 1/20 = 7+2/7= 7 2/7
1) 2 2/10-1 1/5 = 2 2/10-1 1*2 = 2 2/10 - 1 2/1= 1
5*2
2) 2 8/10 - 1 3/4= 2 8*2 - 1 3*5 = 2 16/20-1 15/20 = 2-1 16-15 =1 1/20
10*2 4*5 20
3) 7:1=7
4) 3/10: 1 1/20= 3/10: 21/20=3*20 = 60/210 = 6/21 2/7
10*21
5) 7+2/7 =7 2/7
1) 2 2/10-1 1/5 = 2 2/10-1 1*2 = 2 2/10 - 1 2/1= 1
5*2
2) 2 8/10 - 1 3/4= 2 8*2 - 1 3*5 = 2 16/20-1 15/20 = 2-1 16-15 =1 1/20
10*2 4*5 20
3) 7:1=7
4) 3/10: 1 1/20= 3/10: 21/20=3*20 = 60/210 = 6/21 2/7
10*21
5) 7+2/7 =7 2/7
Приложения:
Вас заинтересует
2 года назад
2 года назад
8 лет назад
8 лет назад
10 лет назад
11 лет назад