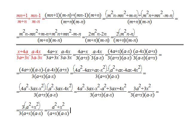
mn+1 mn-1 x+4a a-4x
а) ------ + ------- =? б) ------- - ------ =?
m+n m-n 3a+3x 3a-3x
Нужно упростить выражение. Помогите пожалуйста))))
Ответы
Ответ дал:
0
========================================================
Приложения:

Вас заинтересует
2 года назад
2 года назад
8 лет назад
8 лет назад
10 лет назад
10 лет назад