Ответы
Ответ дал:
0
...............................
Приложения:

Ответ дал:
0
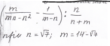
Подставляем n и m
Приложения:

Вас заинтересует
2 года назад
2 года назад
7 лет назад
7 лет назад
10 лет назад
10 лет назад
10 лет назад