• Предмет: Алгебра
  • Автор: vladimirzotov
  • Вопрос задан 10 лет назад

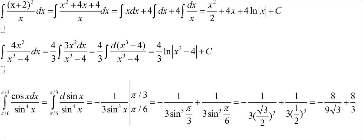
Помогите!))))решить интегралы,пожалуйста!!Заранее спасибо большое!)))))))

Приложения:

Ответы

Ответ дал: Аноним
0
решение смотри во вложении
Приложения:
Вас заинтересует