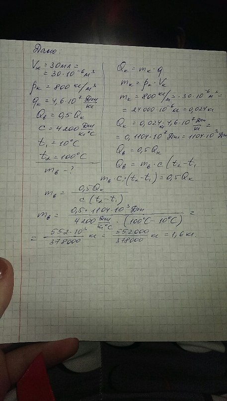
У туристов, остановившихся на берегу ручья, осталось только 30 мл керосина. Сколько воды они смогут вскипятить на примусе, если 50% энергии, выдилившейся
при сгорании керосина, будет передано нагреваемой воде? Температура воды в ручье 10°C!
Будьте добры, помогите пожалуйста! :)
Ответы
Ответ дал:
0
надеюсь, что помогла=)))
Приложения:
Ответ дал:
0
=)))
Вас заинтересует
3 года назад
3 года назад
8 лет назад
8 лет назад
10 лет назад
11 лет назад
11 лет назад