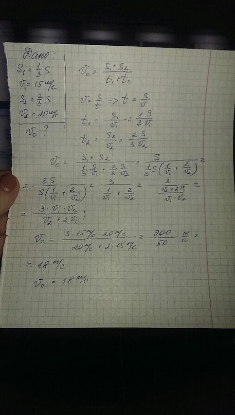
Автомобиль первую треть пути проехал со средней скоростью 15 м/с. А оставшуюся часть пути он преодолел со скоростью 20 м/с. Какова средняя скорость автомобиля (м/с) на всем участке пути?
Ответы
Ответ дал:
0
надеюсь, что помогла=)))
Приложения:

Вас заинтересует
2 года назад
7 лет назад
7 лет назад
10 лет назад
10 лет назад