окислительно-восстановительные реакции. оба варианта. отмечу лучший ответ. и если можно, то распишите всё на бумаге и скиньте фото
Приложения:
Ответы
Ответ дал:
0
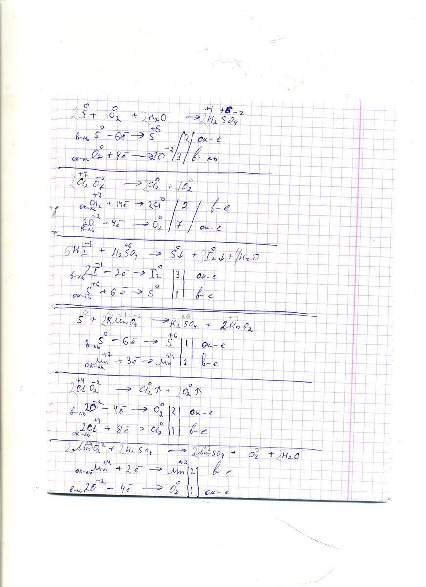
Ну как-то так. Если что непонятно в моих каракулях - спрашивай.
Приложения:
Ответ дал:
0
2S + 3O2 + 2H2O = 2H2SO4
S(0) - 6e => S(+6)
O2(0) + 4e => 2O(2-)
Баланс:
6=====>2
========>12
4=====>3
2Cl2O7 = 2Cl2 + 7O2
2O(2-) - 4e => O2(0)
2Cl(+7) + 14e => Cl2(0)
Баланс:
4===>7
======>28
14===>2
6HI + H2SO4 = S + 3I2 + 4H2O
2I -2e => I2(0)
S(+6) + 6e=> S(0)
Баланс:
2===>3
======>6
6===>1
2S + 4KMnO4 = 2K2SO4 + 4MnO2
S(0) - 6e => S(+6)
Mn(+7) + 3e => Mn(+4)
Баланс:
6===>2
======>12
3===>4
2ClO2 = Cl2 + 2O2
2O(2-) -4e => O2(0)
2Cl(+4) + 8e => Cl2(0)
Баланс:
4==>2
=====>8
8==>1
2MnO2 + 2H2SO4 = 2MnSO4 + O2 + 2H2O
2O(2-) - 4e => O2(0)
Mn(+4) + 2e => Mn(2+)
Баланс:
4===>1
=====>4
2===>2
S(0) - 6e => S(+6)
O2(0) + 4e => 2O(2-)
Баланс:
6=====>2
========>12
4=====>3
2Cl2O7 = 2Cl2 + 7O2
2O(2-) - 4e => O2(0)
2Cl(+7) + 14e => Cl2(0)
Баланс:
4===>7
======>28
14===>2
6HI + H2SO4 = S + 3I2 + 4H2O
2I -2e => I2(0)
S(+6) + 6e=> S(0)
Баланс:
2===>3
======>6
6===>1
2S + 4KMnO4 = 2K2SO4 + 4MnO2
S(0) - 6e => S(+6)
Mn(+7) + 3e => Mn(+4)
Баланс:
6===>2
======>12
3===>4
2ClO2 = Cl2 + 2O2
2O(2-) -4e => O2(0)
2Cl(+4) + 8e => Cl2(0)
Баланс:
4==>2
=====>8
8==>1
2MnO2 + 2H2SO4 = 2MnSO4 + O2 + 2H2O
2O(2-) - 4e => O2(0)
Mn(+4) + 2e => Mn(2+)
Баланс:
4===>1
=====>4
2===>2
Приложения:
Вас заинтересует
3 года назад
8 лет назад
8 лет назад
10 лет назад