• Предмет: Алгебра
  • Автор: 5gordon5
  • Вопрос задан 10 лет назад

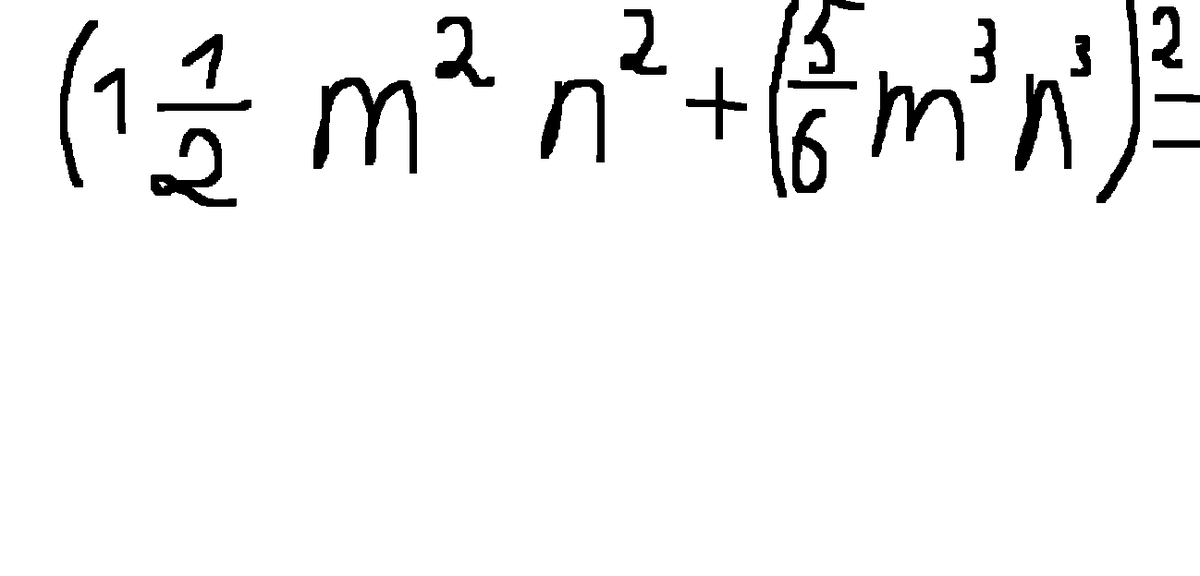
выполните указанные действия
зарание спасибо

Приложения:

Ответы

Ответ дал: nik12101
0
(3/2m²n²)²+2(3/2m²n²*5/6m³n³)+(5/6m³n³)²
9/4m^4n^4+30/12m^5n^5+25/36m^5n^5
9/4m^4n^4+105/36m^5n^5
Вас заинтересует