• Предмет: Математика
  • Автор: SashaLP
  • Вопрос задан 10 лет назад

Помогите!!!!
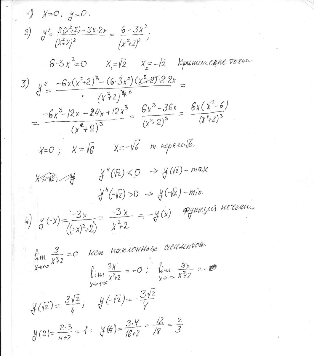
Полное исследование функции( с графиком)
y = (3x)/(x^2 + 2)

Ответы

Ответ дал: Опыт
0
Исследование на первом листке, график на втором
Приложения:
Ответ дал: Аноним
0
Смотреть вложение
------------------------------------
Приложения:
Вас заинтересует