• Предмет: Алгебра
  • Автор: alexeuwkaa
  • Вопрос задан 10 лет назад

Помогите!!!!
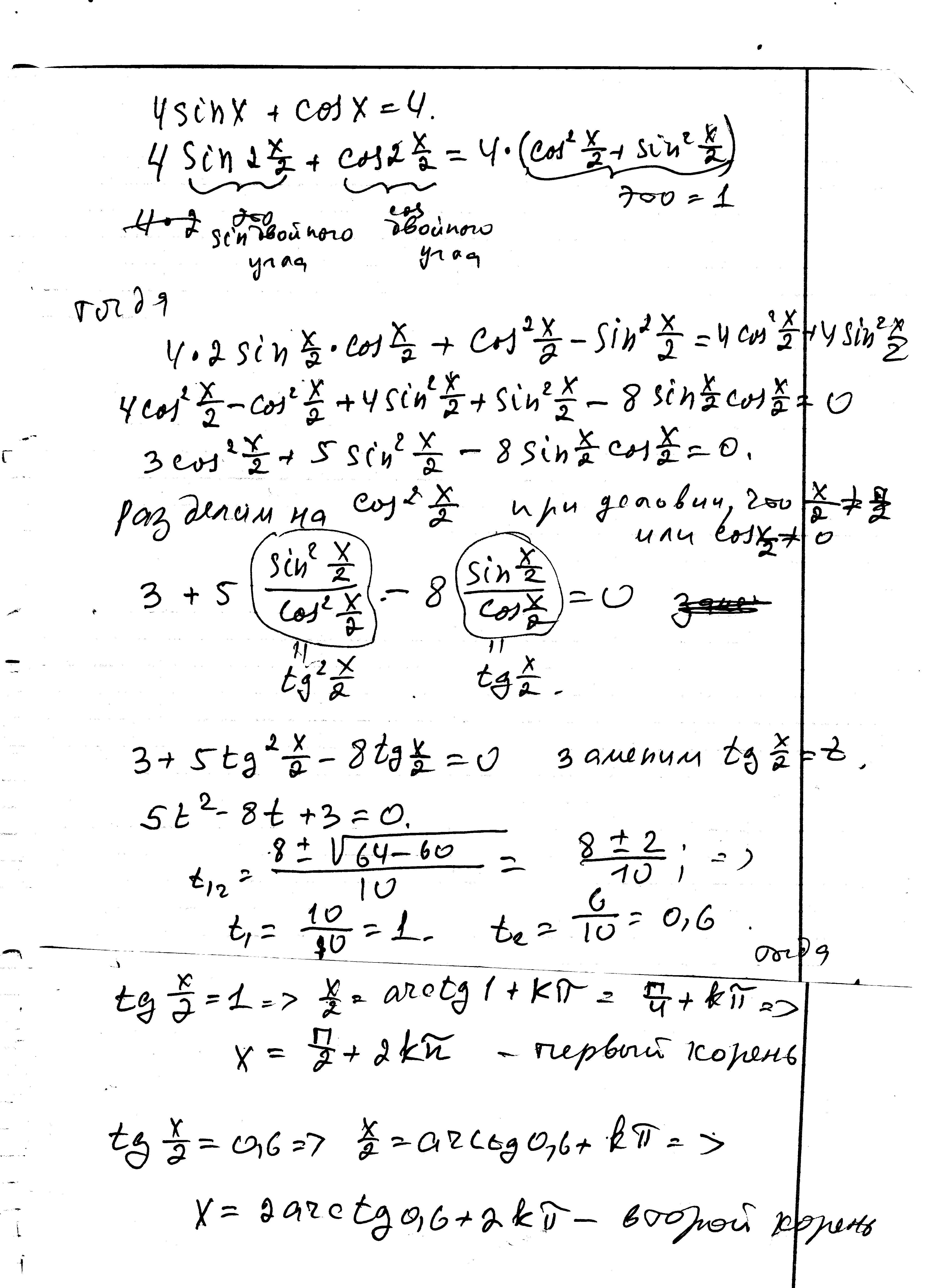
4sinx+cosx=4

Ответы

Ответ дал: ужнеужели
0
При делении на косинус в квадрате я ввел искусственное ограничение, под которое попадает первый корень pi/2. Однако проверка подстановкой показывает что это корень тоже является решением  исходного уравнения.
Решение в скане........................
Приложения:
Вас заинтересует