Какое количество теплоты потребуется для обращения в пар 100 грамм эфира имеющего температуру 5 градусов
Ответы
Ответ дал:
0
Спасибо сказать не забудь :)
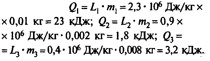
1 картинка-дано
2 картинка-решение
1 картинка-дано
2 картинка-решение
Приложения:


Вас заинтересует
7 лет назад
7 лет назад
10 лет назад
10 лет назад