• Предмет: Математика
  • Автор: svetik221183
  • Вопрос задан 10 лет назад

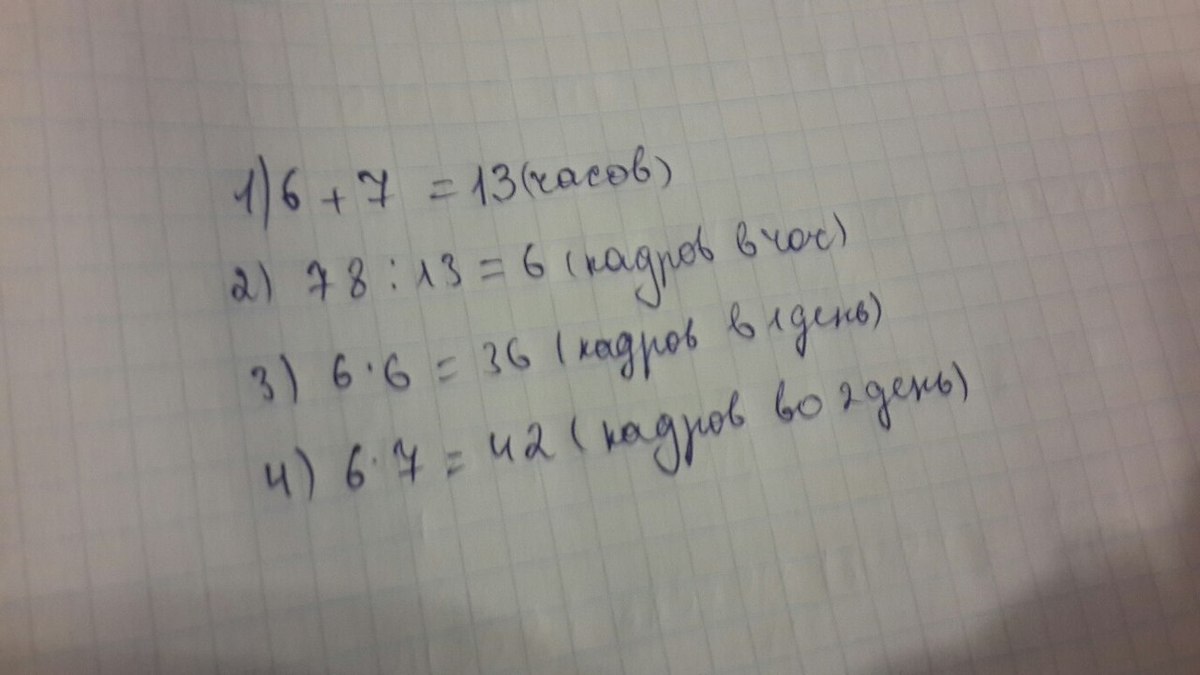
художник нарисовал 78 кадров за 2 дня в первый день он работал 6 часов а во второй 7 сколько кадров нарисовал художник в каждый из этих дней если он рисовал одинаковое количество кадров в час

Ответы

Ответ дал: mvmakaro75
0
вот такое простое решение :)
Приложения:
Ответ дал: svetik221183
0
Спасибо
Ответ дал: natulyasotskay
0
1)78(7+6)=6кадров рисовал за 1 ч.   2) 7*6=42кадра во 2 день   3) 6*6=36кадров в 1 день. проверка: 36+42=78кадров  Ответ: 36 и 42
Приложения:
Вас заинтересует