• Предмет: Математика
  • Автор: ЕвгещЯ
  • Вопрос задан 10 лет назад

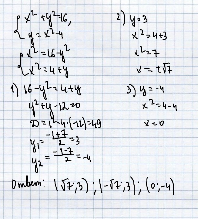
Решите систему уравнений способом подстановки:
х²+у²=16,
у=х²-4

Подробнее,прошу.

Ответы

Ответ дал: wejde
0
.............................
Приложения:
Вас заинтересует