Ответы
Ответ дал:
0
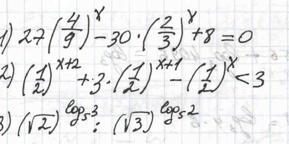
1) 4/9=(2/3)², (2/3)^x=t
27t²-30t+8=0
D=15²-27*8=225-216=9
t1=(15-3)/27=4/9 (2/3)^x=4/9 x=2
t2=(15+5)/27=2/3 (2/3)^x=2/3 x=1
Ответ: х=2,х=1
2) Вынесем (1/2)^x за скобки
(1/2)^x((1/2)²+3/2-1)<3
(1/2)^x * 3/4<3
(1/2)^x<3: 3/4
(1/2)^x<4
(1/2)^x<(1/2)^(-2), т.к. 1/2<1, то x>-2
Ответ: x>-2
27t²-30t+8=0
D=15²-27*8=225-216=9
t1=(15-3)/27=4/9 (2/3)^x=4/9 x=2
t2=(15+5)/27=2/3 (2/3)^x=2/3 x=1
Ответ: х=2,х=1
2) Вынесем (1/2)^x за скобки
(1/2)^x((1/2)²+3/2-1)<3
(1/2)^x * 3/4<3
(1/2)^x<3: 3/4
(1/2)^x<4
(1/2)^x<(1/2)^(-2), т.к. 1/2<1, то x>-2
Ответ: x>-2
Ответ дал:
0
там же так
Ответ дал:
0
это половинная формула корней, кстати там раньше кто-то дал неправильный ЛУЧШИЙ ответ с -27!
Ответ дал:
0
Я извеняюсь, тут вы точно получите лучшее решеение!
Ответ дал:
0
это необязательно
Ответ дал:
0
Да там не увидел -27
Вас заинтересует
3 года назад
3 года назад
8 лет назад
8 лет назад
11 лет назад