• Предмет: Математика
  • Автор: Аноним
  • Вопрос задан 10 лет назад

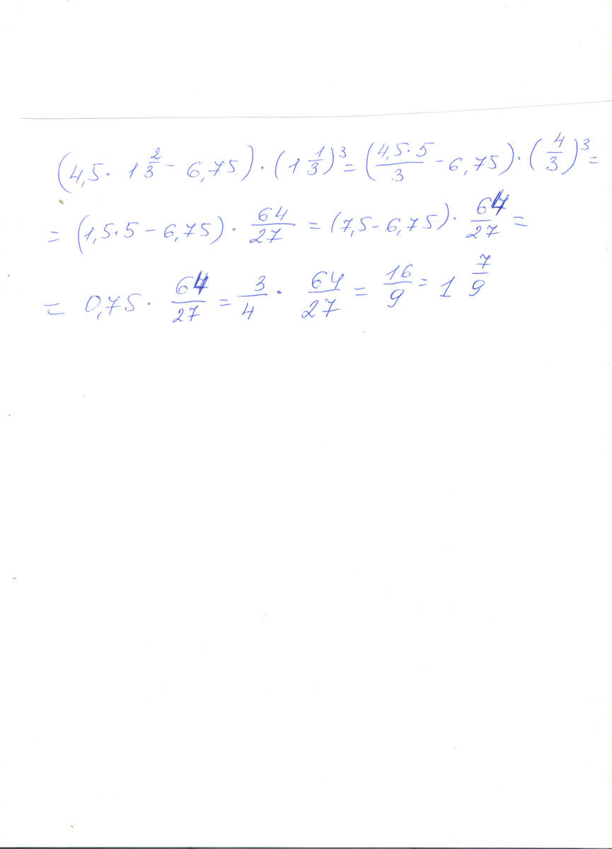
Найдите значение выражения:

( 4,5 * 1 2/3 - 6,75 ) * ( 1 1/3 )^3(в кубе)

Ответ должен получится: 1 7/9
Сделайте решение плз СРОЧНО РЕБЯТ, вопрос жизни и смерти)

Ответы

Ответ дал: hot0808
0
Решение в файле ниже
Приложения:
Вас заинтересует