Ответы
Ответ дал:
0
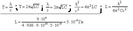
1 найдем период колебаний T= лямбда/с=300/3*10^8=1*10^-6 с
из формулы Томсона период T=2*п корень из L*C
Находим индуктивность L= T^2/4*п^2*C=0,005Гн=5*10^-9 Гн
из формулы Томсона период T=2*п корень из L*C
Находим индуктивность L= T^2/4*п^2*C=0,005Гн=5*10^-9 Гн
Приложения:

Вас заинтересует
2 года назад
2 года назад
7 лет назад
10 лет назад
10 лет назад
10 лет назад