• Предмет: Алгебра
  • Автор: ZzombieRaptorR
  • Вопрос задан 10 лет назад

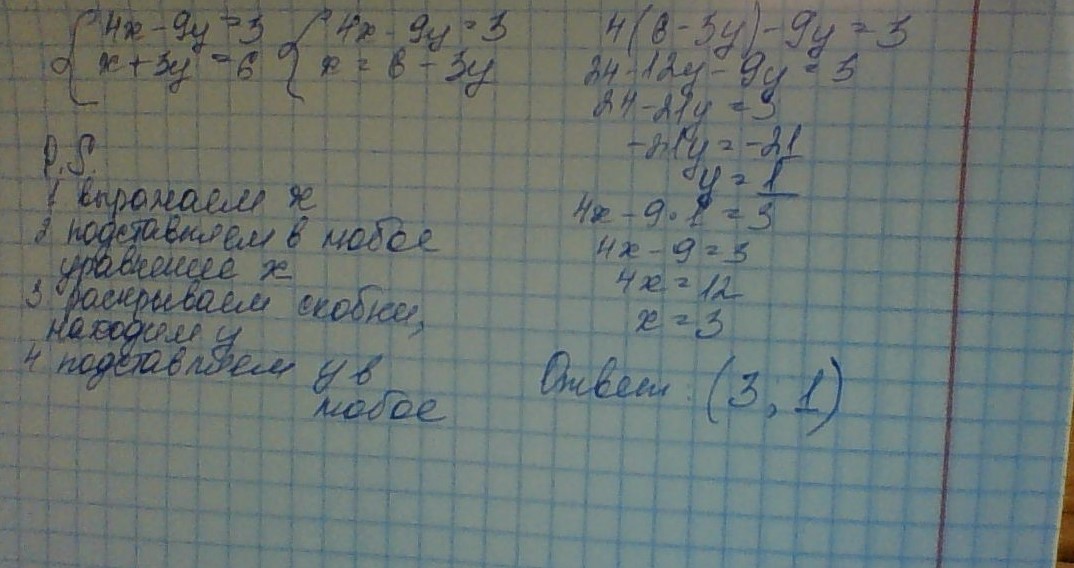
Решить систему уравнений методом подстановки.
{4x-9y=3
{x+3y=6

Ответы

Ответ дал: missFr
0
Всё подробно расписала,удачи вам!
Приложения:
Вас заинтересует