Ответы
Ответ дал:
0
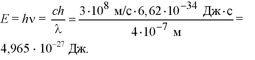
и ответ будет Е=3,1эВ
Приложения:

Вас заинтересует
2 года назад
10 лет назад
10 лет назад
10 лет назад