Ответы
Ответ дал:
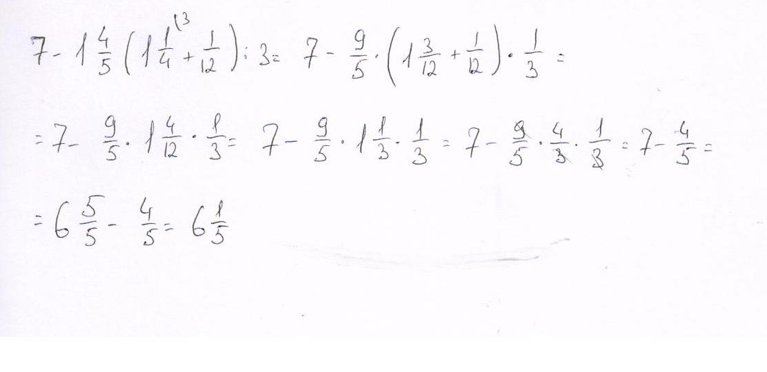
0
см. файл
===============
===============
Приложения:

Ответ дал:
0
7 - 14/5(11/4 + 1/12) : 3 = 4 16/45
1) 11/4 + 1/12 = (33+1)/12 = 17/6
2) 14/5 * 17/6 = 119/15
3) 119/15 : 3 = 119/45
4) 7 - 119/45 = (315 - 119) : 45 = 196/45 = 4 16/45
1) 11/4 + 1/12 = (33+1)/12 = 17/6
2) 14/5 * 17/6 = 119/15
3) 119/15 : 3 = 119/45
4) 7 - 119/45 = (315 - 119) : 45 = 196/45 = 4 16/45
Приложения:

Вас заинтересует
2 года назад
2 года назад
7 лет назад
7 лет назад
10 лет назад
10 лет назад
10 лет назад