В треугольнике ABC угол C=90 градусов,угол В=60 градусов,АС=12см,точка К -середина стороны ВС.Найдите расстояние от точки К до гипотенузы АВ.
Ответы
Ответ дал:
0
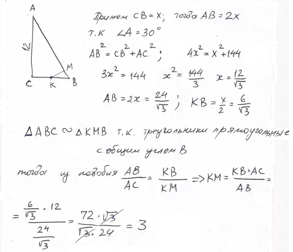
Искомое расстояние равно 3 см. Решение смотрите во вложении.
Приложения:

Вас заинтересует
2 года назад
2 года назад
7 лет назад
7 лет назад
10 лет назад
10 лет назад
10 лет назад