• Предмет: Математика
  • Автор: liЛизавета
  • Вопрос задан 10 лет назад

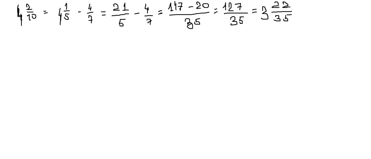
Помогите решить уравнение (у- 4/7 у=4,2)

Ответы

Ответ дал: инкогнитоО
0
решить уравнение (у- 4/7 у=4,2)
4,2 -4/7=
Приложения:
Вас заинтересует