• Предмет: Алгебра
  • Автор: Algebroidka
  • Вопрос задан 10 лет назад

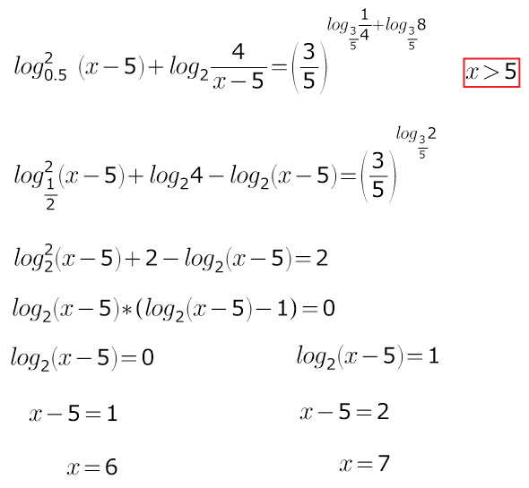
Задание в прикрепленных

Приложения:

Ответы

Ответ дал: LFP
0
-----------------------------------
Приложения:
Вас заинтересует