• Предмет: Алгебра
  • Автор: Poporol
  • Вопрос задан 10 лет назад

Ребята помогите пожалуйста!!!Нужно решить до завтра!

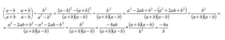
Приложения:

Ответы

Ответ дал: IRockFanI
0
Ок...Ты мой должник)
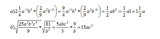
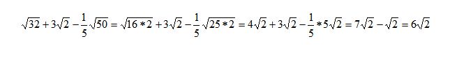
Приложения:
Ответ дал: Poporol
0
а точно!
Ответ дал: Poporol
0
Забыл
Ответ дал: IRockFanI
0
Ага
Ответ дал: IRockFanI
0
=_=
Ответ дал: IRockFanI
0
Поспешные выводы...
Вас заинтересует