• Предмет: Алгебра
  • Автор: Аноним
  • Вопрос задан 10 лет назад

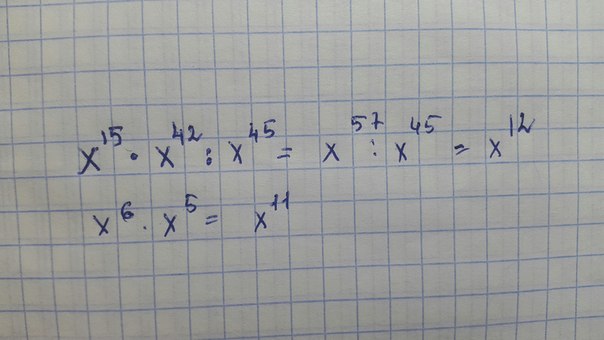
Алгебра 7 класс решите уравнение степеней Буду очень благодарен(x^3)^5*(x^{14})^3:x^{45}<br />
 \ x^5*x^6

Ответы

Ответ дал: aanbkaya
0
Вот как-то так ..............
Приложения:
Ответ дал: Аноним
0
Cпасибо)надеюсь правильно
Вас заинтересует