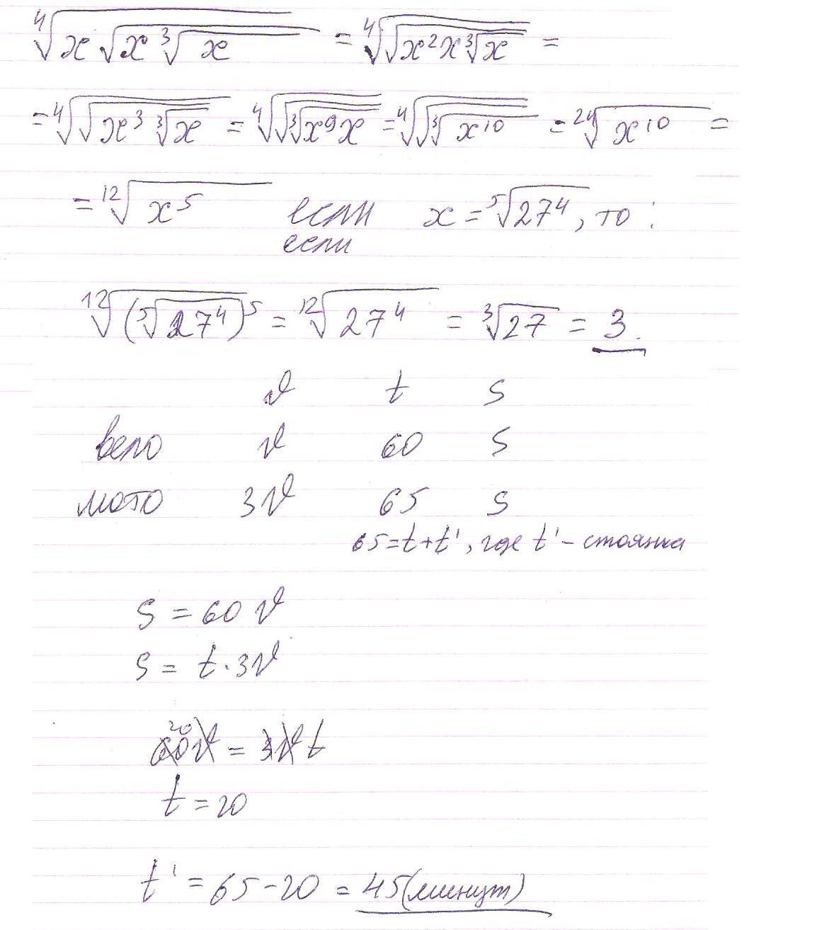
Помогите решить 6 и 7 (тема:корни n-ой степени)
Ответы должны быть читаемыми!!!1
Заранее спасибо
Приложения:

Ответы
Ответ дал:
0
конечно чтобы ответы были читаемыми надо чтобы задания были читаемыми, но надеюсь я правильно разобрал...
Приложения:

Вас заинтересует
2 года назад
8 лет назад
10 лет назад
10 лет назад
10 лет назад