Помогите решить задачу, пожалуйста. Всего в задаче 6 действий. 4 класс.
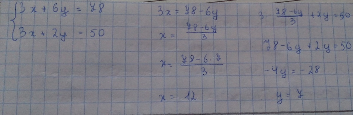
В трех больших и шести маленьких ящиках 78 кг яблок, а в двух маленьких и трех больших ящиках - 50 кг. Сколько килограммов яблок отдельно в одном большом и одном маленьком ящиках?
Ответы
Ответ дал:
0
Решение пропорциями.
В больших коробках (x) - 12 кг
В маленьких коробках (y) - 7 кг
В больших коробках (x) - 12 кг
В маленьких коробках (y) - 7 кг
Приложения:
Ответ дал:
0
ты меня извини конечно, да, здесь все правильно, но надо было именно по действиям, то есть -- 1.) 78-50=28 (я). - больших.
но все равно спасибо за помощь :)
но все равно спасибо за помощь :)
Ответ дал:
0
Не посмотрел на класс.. Вы это не проходили..
Вас заинтересует
2 года назад
2 года назад
8 лет назад
10 лет назад
10 лет назад