• Предмет: Алгебра
  • Автор: Freakazoid
  • Вопрос задан 10 лет назад

Докажите тождества
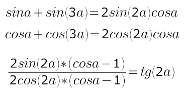
 frac{sin alpha -2sin2 alpha +sin3a}{cosa-2cos2a+cos3a} =tg2 alpha

Ответы

Ответ дал: LFP
0
две формулы: сумма синусов и сумма косинусов...
и определение тангенса)))
Приложения:
Ответ дал: Freakazoid
0
вы и с этим помогли!!!очень рад, огромное спасибо! не додумался же применить формулу преобразования суммы/разности в произведение...
Ответ дал: Freakazoid
0
можно вопрос для уточнения? я просто не уверен в своём понимании четности косинуса. Вот, к примеру, к выражение в числителе sina+sin3a преобразовываем формулой сложения. Выходит 2sin2a cos(-a). у косинуса отрицательный знак уничтожается за счет правила "четности косинуса"? или мы знаки минус сократили потому, что и в числителе и в знаменатели они были?
Ответ дал: LFP
0
именно за счет четности))) cos(x) = cos(-x) ---т.е. все-равно с каким знаком аргумент)))
Вас заинтересует