Ответы
Ответ дал:
0
x+19/42÷3/7=3/16=×-8/63
Ответ дал:
0
спасибо большое
Ответ дал:
0
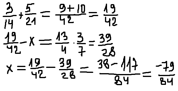
х=-79/84
Ответ дал:
0
..........................................
Приложения:

Вас заинтересует
2 года назад
2 года назад
7 лет назад
10 лет назад
10 лет назад
10 лет назад