Ответы
Ответ дал:
0
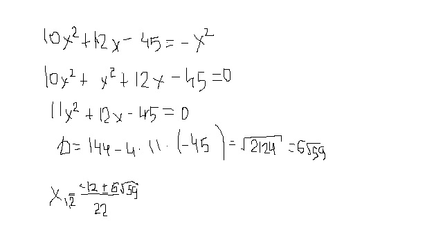
из дискриминанта точное число не выходит , будет скорррее так
Приложения:

Вас заинтересует
2 года назад
7 лет назад
7 лет назад
10 лет назад
10 лет назад
10 лет назад