• Предмет: Математика
  • Автор: oxana6677
  • Вопрос задан 11 лет назад

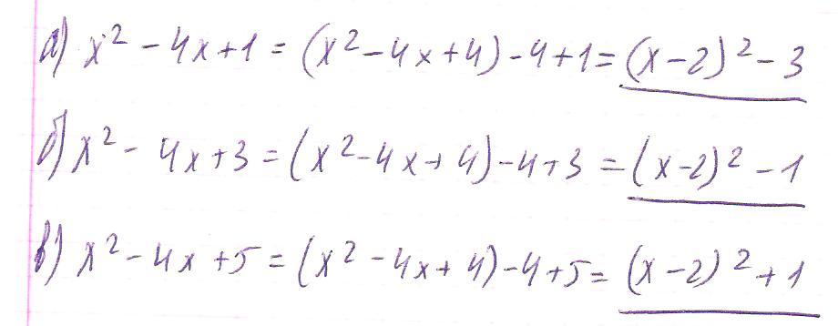
Помогите решить пожалуйста. выберу ответ лучшим. задание во вложении.

Приложения:

Ответы

Ответ дал: Artem112
0

все параболы сдвинуты на 2 единицы вправо, первая опущена на 3 единицы, вторая - на 1, а третья - поднята на 1, поэтому ответ - 241

Приложения:
Вас заинтересует