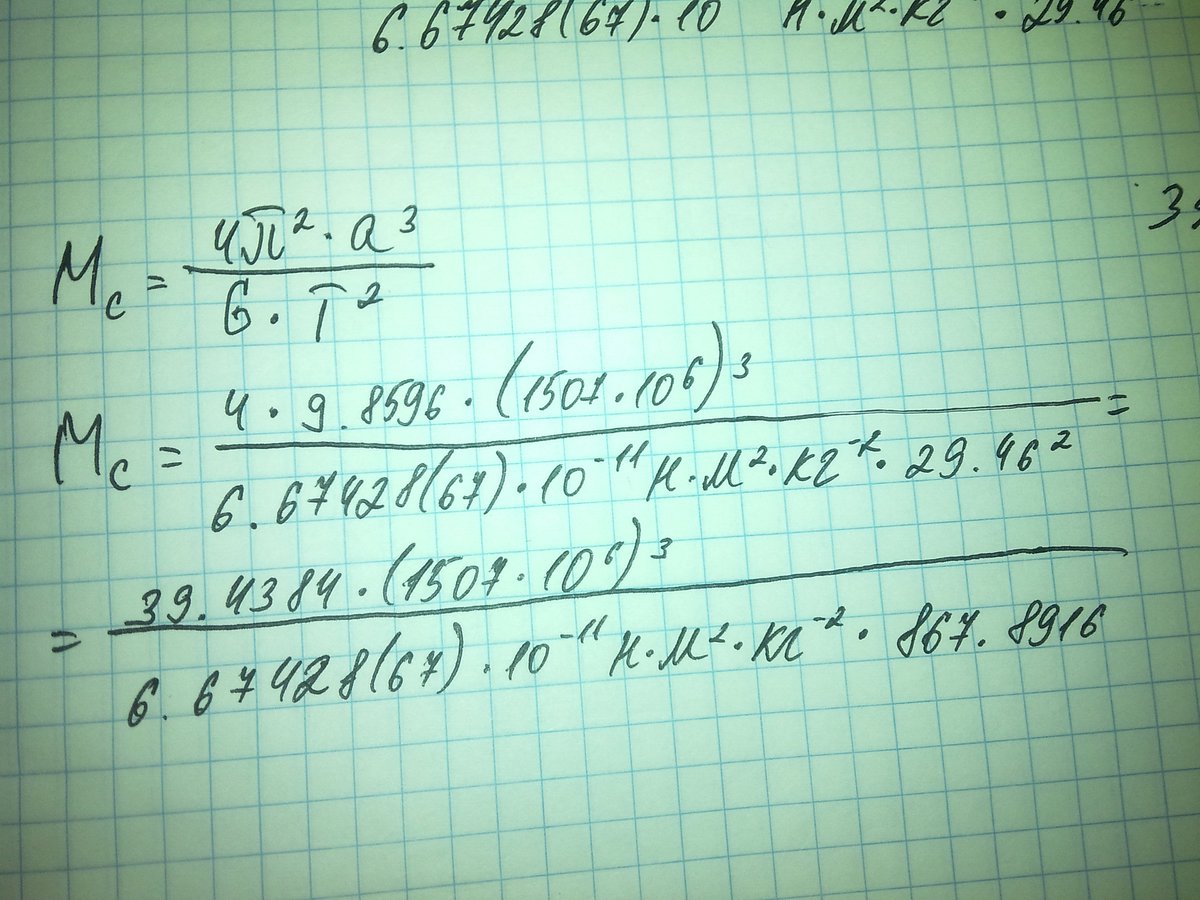
расстояние от Сатурна до солнца 1507 10 в 6 степени ,период обращения Сатурна вокруг солнца 29.46 года . опередили те массу солнца ( масса Сатурна в 94,2 раза больше массы земли)
Ответы
Ответ дал:
0
Лови решение) дальше просто сам все перемножишь. Не забудь спасибо нажать
Приложения:

Ответ дал:
0
спс
Вас заинтересует
2 года назад
2 года назад
7 лет назад
10 лет назад
10 лет назад
10 лет назад
10 лет назад