Ответы
Ответ дал:
0
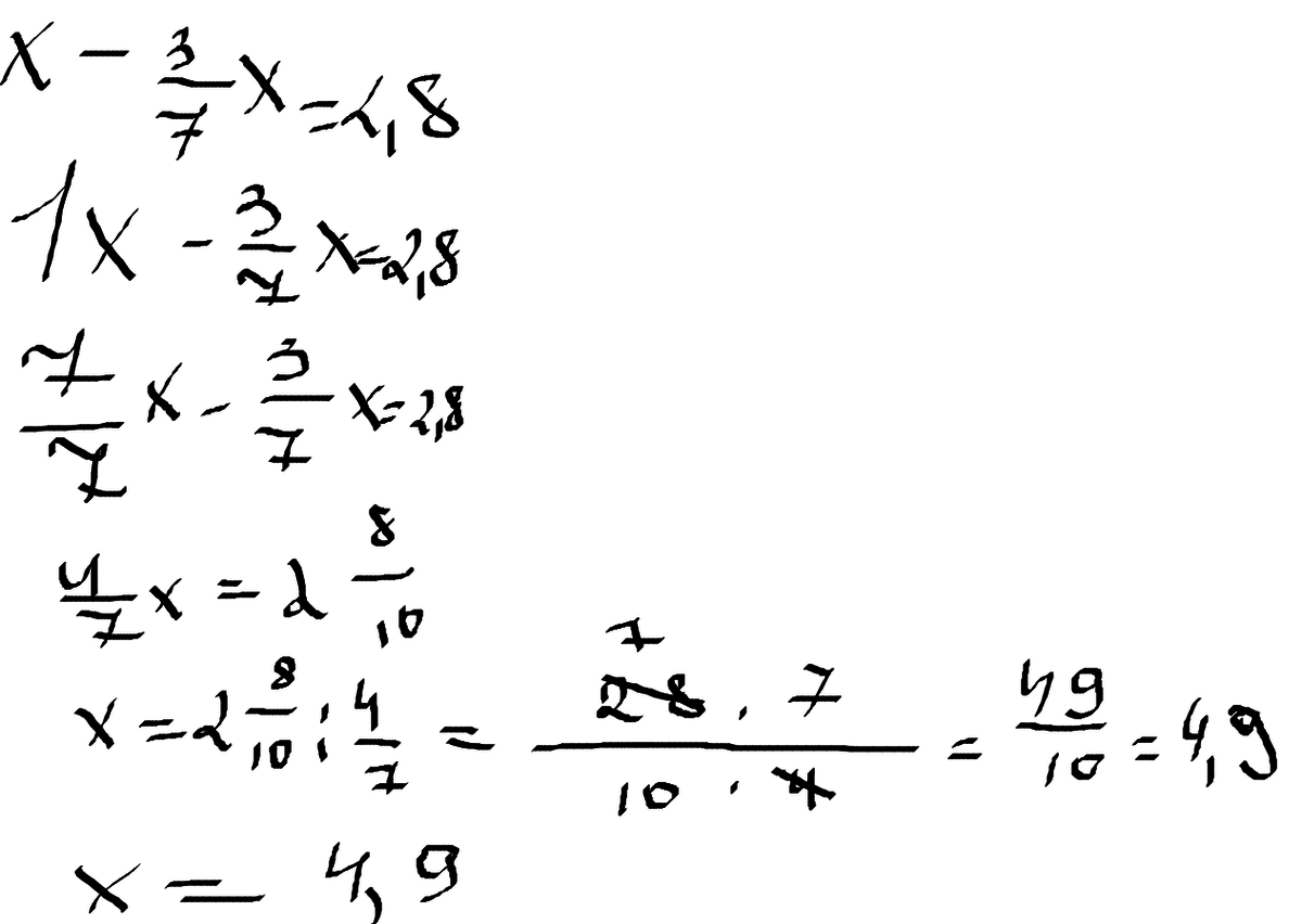
.......................Во вложении...............................
Приложения:

Ответ дал:
0
Отличное решение! То что надо! Благодарю!
Вас заинтересует
2 года назад
2 года назад
7 лет назад
7 лет назад
10 лет назад
10 лет назад
10 лет назад
10 лет назад