Ответы
Ответ дал:
0
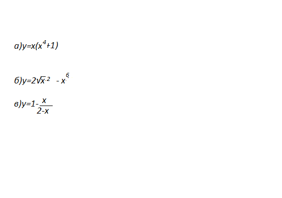
Функция четная, если f( - x ) = f( x ). Не четная, если f( - x ) = - f( x )
1) y( - x ) = -x * ( ( -x ) ^4 + 1 ) = -x * ( x^4 + 1 ) = -y(x) = > y( x ) - нечетная
2) y( - x ) = 2 * sqrt ( ( - x ) ^2 ) - ( - x )^6 = 2 * sqrt( x^2 ) - x^6 = y(x) - четная
3) y( - x ) = 1 - ( - x ) / ( 2 - ( - x ) ) = 1 + х / ( 2 + х ) - функция общего порядка
1) y( - x ) = -x * ( ( -x ) ^4 + 1 ) = -x * ( x^4 + 1 ) = -y(x) = > y( x ) - нечетная
2) y( - x ) = 2 * sqrt ( ( - x ) ^2 ) - ( - x )^6 = 2 * sqrt( x^2 ) - x^6 = y(x) - четная
3) y( - x ) = 1 - ( - x ) / ( 2 - ( - x ) ) = 1 + х / ( 2 + х ) - функция общего порядка
Вас заинтересует
2 года назад
2 года назад
8 лет назад
8 лет назад
10 лет назад
10 лет назад
11 лет назад