Ответы
Ответ дал:
0
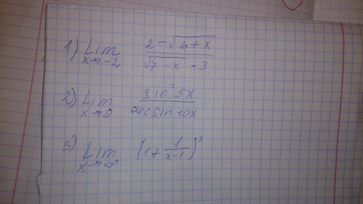
1) Домножаем числитель и знаменатель на (2+√(6+x))*(√(7-x)+3):
(2-√(6+x))*(2+√(6+x))*(√(7-x)+3)=(4-6-x)((√(7-x)+3)=(-x-2)(√(7-x)+3) - числитель
(√(7-x)-3)*(√(7-x)+3)*(2+√(6+x))=(7-x-9)((2+√(6+x))=(-x-2)(√2+√(6+x) - знаменатель
Делим числитель на знаменатель, получаем выражение:
lim при x⇒-2 (√(7-x)+3)/(√2+√(6+x)=(√(7+2)+3)/(2+√(6-2))=6/4=3/2
2) lim при x⇒0 sin^2(5x)/arcsin10x
sin(5x) эквивалентно 5x⇒(sin(5x))^2 эквивалентно 25x^2
arcsin10x эквивалентно 10x⇒
lim при x⇒0 sin^2(5x)/arcsin10x=lim при x⇒0 (25x^2)/10x=lim при x⇒0 (5x)/2=5/2*0=0
3) lim при x⇒∞(1+1/(x-1))^x=lim при x⇒∞((1+1/(x-1)))^((x-1)*x/(x-1))=
=e^(lim при x⇒∞(1/(1-1/x)=e^1=e
(2-√(6+x))*(2+√(6+x))*(√(7-x)+3)=(4-6-x)((√(7-x)+3)=(-x-2)(√(7-x)+3) - числитель
(√(7-x)-3)*(√(7-x)+3)*(2+√(6+x))=(7-x-9)((2+√(6+x))=(-x-2)(√2+√(6+x) - знаменатель
Делим числитель на знаменатель, получаем выражение:
lim при x⇒-2 (√(7-x)+3)/(√2+√(6+x)=(√(7+2)+3)/(2+√(6-2))=6/4=3/2
2) lim при x⇒0 sin^2(5x)/arcsin10x
sin(5x) эквивалентно 5x⇒(sin(5x))^2 эквивалентно 25x^2
arcsin10x эквивалентно 10x⇒
lim при x⇒0 sin^2(5x)/arcsin10x=lim при x⇒0 (25x^2)/10x=lim при x⇒0 (5x)/2=5/2*0=0
3) lim при x⇒∞(1+1/(x-1))^x=lim при x⇒∞((1+1/(x-1)))^((x-1)*x/(x-1))=
=e^(lim при x⇒∞(1/(1-1/x)=e^1=e
Вас заинтересует
3 года назад
3 года назад
8 лет назад
8 лет назад
10 лет назад