• Предмет: Алгебра
  • Автор: viktoria58
  • Вопрос задан 10 лет назад

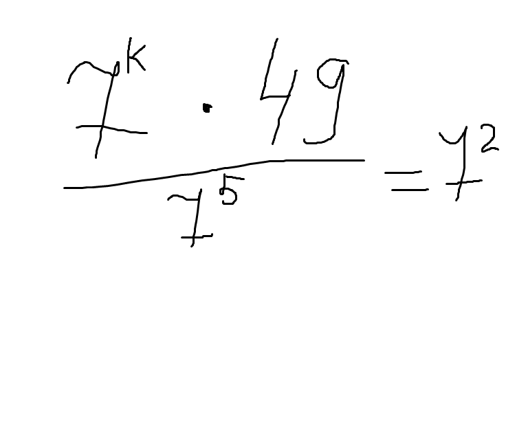
При каком значении k верное равенство

Приложения:

Ответы

Ответ дал: stas0107
0
7^(к+2-5)=7^2; к+2-5=2; к-3=2; к=2+3; к=5.
Вас заинтересует