Найдите значение выражения:
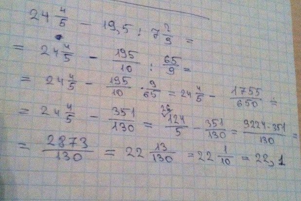
А) 24 4/5 - 19, 5 : 7 2/9
Если можно,, то с объяснением, а то не понятно)
Ответы
Ответ дал:
0
Думаю будет ясно.........
Приложения:

Ответ дал:
0
24 4/5 - 19,5 : 7 2/9 = 22,1
1) 195/10 : 65/9 = 195/10 * 9/65 = (3 * 9)/10 = 27/10 = 2 7/10
2) 24 4/5 - 27/10 = 24 8/10 - 2 7/10 = 22 1/10 = 22,1
1) 195/10 : 65/9 = 195/10 * 9/65 = (3 * 9)/10 = 27/10 = 2 7/10
2) 24 4/5 - 27/10 = 24 8/10 - 2 7/10 = 22 1/10 = 22,1
Приложения:

Вас заинтересует
2 года назад
10 лет назад
10 лет назад
10 лет назад
10 лет назад