• Предмет: Математика
  • Автор: adilya97
  • Вопрос задан 10 лет назад

Лююдиии! Помогите пожалуйста, срочно!
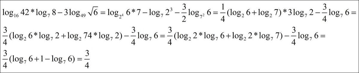
Найти значение выражения: log по основанию 16 числа 42⋅log по основанию 7 числа 8 − 3log по основанию 49 числа под корнем 6

Ответы

Ответ дал: Аноним
0
решение смотри во вложении
Приложения:
Вас заинтересует