Ответы
Ответ дал:
0
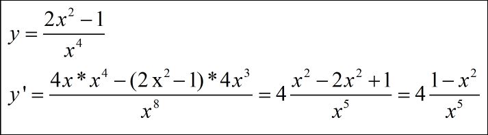
условие записано неправильно, но понятно, что



=
=
Ответ дал:
0
решение смотри во вложении
Приложения:

Вас заинтересует
2 года назад
2 года назад
7 лет назад
7 лет назад
10 лет назад
10 лет назад
10 лет назад